이번 글은 youtu.be/ncYaKmpbUtU 이 영상의 내용을 참고하였습니다.
자세한 내용은 해당 영상을 통해 확인해주시기 바랍니다.
애플이 지난 9월 8일 공식적으로 AirPods Pro 2세대를 공개했습니다.
그리고 애플은 AirPods Pro 2세대의 노이즈 캔슬링 성능이 기존보다 최대 2배까지 향상되었다고 홍보하고 있습니다.
하지만 애플이 홍보하고 있는 노이즈 캔슬링 성능 2배 향상은, 이론적으로 2배가 맞지만, 대부분의 사람들이 생각하는 체감상 2배로 이해하면 안됩니다.
AirPods Pro 2의 노이즈 캔슬링 성능 최대 2배 향상은 마케팅을 위해 선택된 문구라고 보는게 맞습니다. 물론 이론상 2배가 향상됐던 것은 사실입니다.
아래에서 더 자세히 설명드리겠습니다.
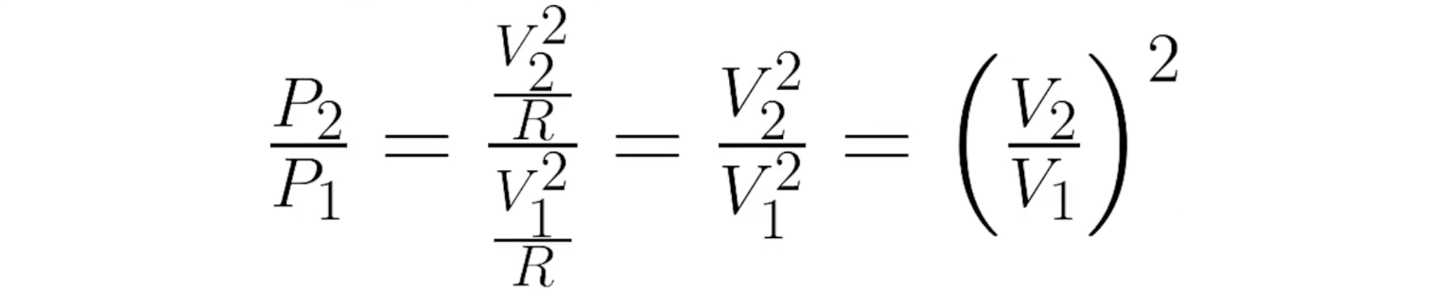
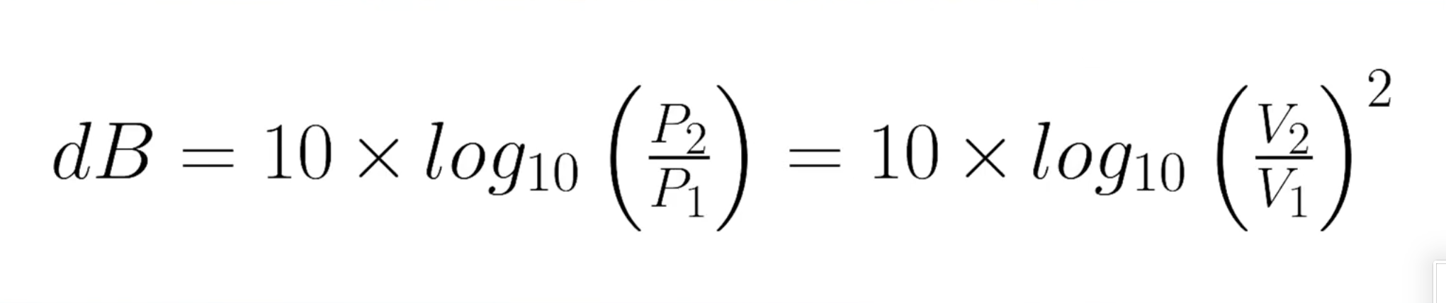
dB은 볼륨을 표현하는 단위이며, 상대값입니다 [dB = 10 log10 (P2/P1)]
기존 출력을 P1, 2배 좋아진 출력을 P2(=2P1)이라고 가정하면,
dB = 10 log10 (2) = 10*0.3010… = 약 3dB으로, 출력(P2/P1) 2배는 3dB입니다.
하지만 볼륨값은 전압이기 때문에 I = V/R이고 P = IV = (V/R)V = V^2/R이 되고 따라서 P2/P1=(V2/V1)^2이 되고,
식을 대입하여 정리하면 dB = 20 log2되어, 볼륨 (V2/V1) 2배는 6dB이 됩니다.
AirPods Pro 1의 노이즈 감쇄율은 -23dB이고, 여기서 2배 증가한 -6dB을 더하면
최종적으로 AirPods Pro 2의 노이즈 감쇄율은 -29dB이 됩니다.
따라서 AirPods Pro 2의 노이즈 캔슬링 성능 2배 향상이라는 문구는
이론적으로 2배 향상이라는 말은 맞지만, 우리가 실제로 체감하는 것이 최대 2배 향상되었다는 뜻은 아닙니다.
사람마다 다르지만, 원래 노이즈 캔슬링이 없을 때 -23dB만큼 작아지는 것과, -29dB이 작아지는 것의 차이를 일반적인 상황에서는 느끼기 어렵습니다.
dB의 값은 상대적이기 때문에 -23dB에서 2배가 된다고 -46dB이 되는 것은 아닙니다.
참고로 자료가 최근게 아니라서 WH-1000XM5에 대한 자료는 없지만, 소니의 WH-1000XM4의 노이즈 감쇄율은 -29dB이라고 합니다.
헤드폰에서나 나올법한 성능이, 이어폰에서 나오는 것은 물론 대단한 기술입니다.
최근 AirPods Pro 2세대가 공개되면서, 노이즈 캔슬링 성능이 2배 항상됐다는 내용에 많은 분들이 오해를 하실까봐 이런 내용을 가지고 왔습니다.
하루 빨리 국내에도 새로운 신제품들이 출시됐으면 하는 바람입니다.
좋은 내용 만들어주신 Producer dk님께도 감사 인사를 드립니다.
긴 글 읽어주셔서 감사합니다.
'Apple > News' 카테고리의 다른 글
iPadOS 16.1, 스테이지 매니저 지원 기종 2018년 이후 iPad Pro로 확대 (0) | 2022.09.28 |
---|---|
Apple, 대한민국 인앱결제 가격 인상 발표...10월 5일부터 적용 (0) | 2022.09.21 |
2022년 가을 애플 모든 제품 가격 변동 정리 (신제품/기존제품 전체) (0) | 2022.09.08 |
Apple, 대한민국 및 일부 국가에서 ‘5W USB 전원 어댑터’ 단종 (0) | 2022.08.16 |
Apple, 2022년 새로운 Apple Watch 프라이드 에디션 밴드 및 프라이드 시계 페이스 출시 (0) | 2022.05.24 |
댓글